Garden State Environmental (GSE) tested the District’s water on April 18. Last year, GSE had also tested all sources of drinking water in the District and found that all samples were well below acceptable limits of lead. This year we expanded our test to include areas in each building not normally used as a source of drinking but which students or staff could conceivably access. Six locations in the district had lead particles above the threshold of 15 parts per billion. All other areas are below the threshold.
All of the locations identified have been “bagged” and labeled not for drinking or consumption. There will be a follow up plan of action for these water sources. The plan will be developed by GSE.
The positive news is that none of these areas are in locations that students use for drinking.
In Pierrepont, there is a “slop sink” in a custodial closet in the second floor corridor. There are also two fountains located inside and outside the maintenance office in the basement level of the building, in an area students and most staff do not enter.
At the K Center there are two sinks located in the back of the Nurse’s Office. Those sinks do not have a “bubbler” for drinking.
In the High School, unacceptable levels where found in a sink located in the back of the Band Room. That sink does not have a “bubbler” for drinking,
Letters will be sent to the parents in each of the schools listed above. Letters will also be posted to the faculty and staff in each building.
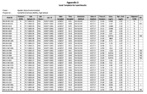
The full test results for each school are linked below.
The lead level can be found in the column labeled Conc. (ug/l). As you will see, all accessible fountains and bubblers are well below the allowable threshold and many areas have untraceable (negative numbers) readings.
A more detailed report will be forthcoming and will be posted once received.
Jack Hurley
Superintendent of Schools






